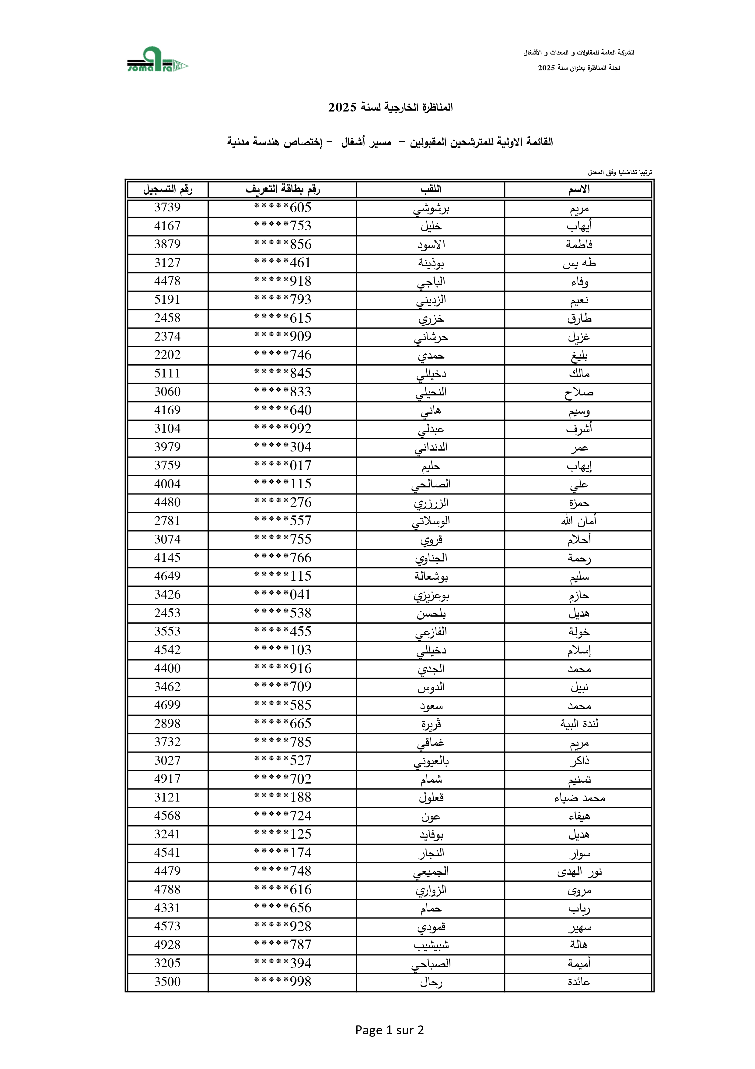
تعلم الشركة العامة للمقاولات والمعدات والأشغال كافة المترشحين لجميع الخطط المعروضة بالمناظرة الخارجيـة للإنتدابات بعنوان سنة 2025 أنّ النتائج الأولية للمرحلة الأولى المتعلّقة بالانتقاء الأوّلي للترشحات مدرجة بالجداول الملحق أسفله حسب الخطط المطلوبة.
هذا ويمكن للمترشحين تقديم اعتراضاتهم حول هذه النتائج الأوّليّة للمرحلة الأولى من مناظرة الانتداب بعنوان سنة 2025 في أجل لا يتعدى يوم 10 مارس 2026.
تقدم الاعتراضات وجوبا عبر البريد في الآجال المحددة إلى العنوان التالي:
الشركة العامة للمقاولات والمعدات والأشغال ساحة الرصافي ميتيال-فيل صندوق بريد عدد 69 تونس سيداكس 1080
Place Erroussafi Mutuelleville BP 69 Tunis Cedex 1080
ملاحظة: جميع الملفات الشخصية الواردة على الشركة بخصوص المناظرة قبل تاريخ نشر بلاغ النتائج الأوّليّة للمرحلة الأولى تعتبر لاغية.






















